ГОСТ 24392-80
ГОСТ 24392–80
国家間標準
単結晶シリコンおよびゲルマニウム
四端子法による比抵抗の測定
公式版
БЗ 10–99
IPK標準出版社 モスクワ
UDC 669.782/.783–172:621.317.33:006.354 グループ В59
国家間標準
単結晶シリコンおよびゲルマニウム
比抵抗測定の四端子法
GOST
比抵抗の測定 1 1
四端子法 24392–80
単結晶シリコンおよびゲルマニウム。
四端子法による電気抵抗率の測定
ОКСТУ 1770
適用日 1981年01月01日
この標準は、n-型またはp-型の電気伝導性を有する単結晶シリコンおよびゲルマニウムのブロックの平坦な表面における比抵抗の測定方法として、四端子法を定めています。比抵抗の範囲は、MΩ-4cmから1×10⁴Ω cmまでの値です。
この方法は、所定の電流をブロックの表面上の2つのプローブを通して流したときに生じる電圧差を測定し、それに基づいて比抵抗を計算することに基づいています。
(修正された版、第2の修正)。
1. 機器および材料
測定装置の構造図が図面に示されています。
![]() |
| 4 |
1 — 四端子測定ヘッド、2 — 定電流源:
3 — 電圧測定計器、4 — サンプル
測定装置は、比抵抗の測定誤差が5%を超えないように校正されている必要があります。
1.1. 四つのタングステンカーバイドプローブを直線上に配置した四端子測定ヘッドは、表1の要件を満たしている必要があります。
表1
| 公称プローブ間距離 (cm) | 許容プローブ間距離の偏差 (%) | プローブの接触力 (F, N) | プローブの作業エリアの線形サイズ (μm, 最大) |
| 0.159 | |||
| 0.130 | 11 | 0.50-2.00 | 60 |
| 0.075 | |||
| 公式版 | コピー禁止 |
© 標準出版社. 1980
頁 2
1.2. 電流源には、測定回路の電流の極性を変更できる仕様が求められ、表2の要件を満たす必要があります。表2
| 測定可能な最大比抵抗 (ρ, Ω cm) | 最大電流 (I, A) | 測定可能な最大電圧 (V, V) | 計器の入力抵抗 (R_м, Ω) 最小値 |
| по-3 | 1×10- | 2.1×10-1 | 1I03 |
| 1×10-г | 1×10- | 2.1×10-3 | МО4 |
| 1-10- | 1×10 | 2.1×10-3 | 1×101 |
| 1×10° | 8.2×10-2 | КОМ-' | МО6 |
| 1×101 | 8.2×10-3 | 1×10- | Ы0Т |
| МО2 | 8.2×10-4 | 1×10- | 110* |
| ПО3 | 8.2×10* | 1×10- | 2×10* |
| МО* | 8.2×10-6 | 1×10- | по9 |
1.2.1. 測定における電流の許容不安定性は、0.5%を超えてはなりません。
1.2.2. 電流強度の測定誤差は、0.5%を超えてはなりません。
1.3. 電圧測定装置は、表2の要件を満たす必要があり、その誤差は1%を超えてはなりません。
1.4. 測定回路の絶縁抵抗は、測定装置の入力抵抗以上でなければなりません。
1.5. 補助装置および材料
誤差が0.5°C以内で測定できる温度計。
абразив材料 по
алмаз工具 по
алмаз粉。
フィルタペーパー по
吸水ペーパー。
漂白布 по
拭き取り用包装材 — 布製、アート. 6313または6304。
飲用水 по
エチルアルコール по
前述の仕様と品質に劣らない特性を持つその他の道具および材料の使用が許可されます。
2. サンプルの準備および測定条件
2.1. 測定は、
2.1. 表面の必要とされる滑らかさを確保するために、サンプルは研磨剤またはダイヤモンド粉を使用したダイヤモンド工具で研磨されます。
2.1.2. 研磨後、サンプルは流水または精製した技術水で洗浄され、フィルタペーパーまたは他の材料で乾燥され、アルコールで脱脂されます。
2.2. 測定を行う際、面の境界から最も近い探針までの距離は、最小で4 /0以上としなければなりません。ここで/0とは、名義上の探針間距離です。
2.3. インゴットの素子面に沿った比抵抗の測定時、測定線の幅は6 /0以上としなければなりません。
2.4. 測定は固定温度 (23±2) °C で行います。測定が行われる温度に試料を設定します。温度が (23±5) °C の範囲内では、±0.5 °C の許容誤差で温度補正を行いながら測定を実施することが許可されます。
2.5. ゲルマニウムの比抵抗が45 Ωcm より大きい場合、シリコンの比抵抗が200 Ωcm より大きい場合は、試料を暗所で測定します。それ以外の比抵抗範囲においては、試料への照明が500 lxを超えない散乱光での測定が許可されます。
3. 測定の実施および結果の処理
3.1. ホルダに装着された試料の表面に対し、測定プローブの探針を垂直に静かに降ろします。
3.2. 試料を通して電流Iを流し、異なる電流の極性において内部電位探針間の電位差を測定します。測定結果として、電位差Uの平均を用います。電流値は表2の要件に従って設定されます。
3.3. 式 (1) に従って比抵抗ρの値を算出します
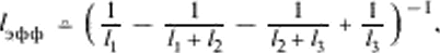
ここでUは電位差の値です。 電流Iは測定時の流れた電流値に対応します。 L_effは式 (2) により計算される探針間の効果的距離です。

(2)
ここでl1, l2, l3はそれぞれ、1番目と2番目、2番目と3番目、3番目と4番目の探針間距離を示します。
探針間の距離が名義上の値/0から±1%を超えない四探針ヘッドを使用する場合、式 (2) に/0を代入します。
3.4. 本規格に記載されているアルゴリズムに従って、測定と結果の処理を自動化手段を使用して行うことが許可されます。
セクション1-3. (変更された版)。
4. 測定結果の表示および精度の指標に関する規則
4.1. 比抵抗測定の結果は、式 (1)で算出される値に基づきます。
4.2. 比抵抗測定の誤差の確率誤差は、信頼度P=0.95で±2%を越えません。
4.3. 試料がρ<103 Ωcmの場合、測定の総誤差は±5%を越えず、比抵抗が103 Ωcm より大きい試料の場合は信頼度P=0.95で±8%を越えません。
4.4. 比抵抗測定結果は、最初の数字が1、2、3である場合は3桁、それ以外の場合は2桁で表示します。
セクション4. (追加された版)。
付録
必須
比抵抗測定の結果は、温度T=23 °Cに合わされます
式 (3)に従います。
ピG - ом (・r)'
ここでρ₀は比抵抗 (Ωcm) です。Cは温度係数 (表1, 2) です。Tは (23±5) °C の範囲内の名目温度です。ρ₀は23 °C での比抵抗です。
任意の名目温度にもとづく比抵抗測定の結果の表示は(23±5) °C の範囲内で可能です。
表I
| シリコンの温度係数 | 比抵抗の範囲 | オーム cm | ||||
| 0.0001 -0.004 | 0.004 - 0.04 | 0.04 - 0.1 | 0.1 - 1.0 | 1.0 - 10.0 | 10.0 - 10000 | |
| n型、1/℃ | 0.002 | 0.001 | 0.004 | 0.006 | 0.008 | 0.008 |
| p型、1/℃ | 0.001 | 0.001 | 0.003 | 0.006 | 0.008 | 0.009 |
表2
| ゲルマニウムの温度係数 | 比抵抗の範囲 | オーム cm | ||||
| 0.0001 - 0.001 | 0.001 - 0.01 | 0.01 - 0.1 | 0.1 - 1.0 | 1.0 - 10 | 10 - 100 | |
| n型、1/℃ | 0.002 | 0.001 | 0.004 | 0.006 | 0.006 | 0.006 |
| p型、1/℃ | 0.002 | 0.002 | 0.004 | 0.007 | 0.008 | 0.008 |
付録。(変更された版)。
情報データ
1. 本製品はソビエト連邦の冶金省により開発されました。
2. ソビエト連邦の標準委員会の決定
3.
4. 初版
5. 関連規定技術文書
| 関連技術文書の指定 | 項番号 | 関連技術文書の指定 | 項番号 |
| ГОСТ 2789–73 | 2.1 | ГОСТ 12026–76 | 1.5 |
| ГОСТ 2874–82 | 1.5 | ГОСТ 18300–87 | 1.5 |
| ГОСТ 3647–80 | 1.5 | ГОСТ 29298–92 | 1.5 |
| ГОСТ 9206–80 | 1.5 |
6. 有効期限の制限は、相互標準化と認定に関するプロトコル #5–94 に沿って解除されました。
7. (2001年3月版) 改訂№1, 2を含む、1985年5月および1990年6月に認可されました (ИУС 8–85, 10–90)。
編集者
認可番号: № 12354 (2000年7月1日) セットアップ済み
学術情報 0.50。それぞれ117 稿。 S 816。 発注 455。
出版基準 107076. モスクワ・コロゼニクの路地... 14。
Плр 050102
